优先发表
优先发表栏目展示本刊经同行评议确定正式录用的文章,这些文章目前处在编校过程,尚未确定卷期及页码,但可以根据DOI进行引用。
显示方式:
, 最新更新时间 , doi: 10.11899/zzfy20250008
摘要:
四川东北区域包含南充、达州、巴中等市,被龙门山等多条断裂带包围。为进一步评估和掌握四川东北区域村镇建筑物抗震能力现状。本研究对位于四川省东北部区域的7市37个调查点的村镇建筑物进行了现场调查分析。结合调查资料、无人机航拍及单栋抽样详查等方法,本文分析了调查区域内乡镇与农村建筑的分布差异性,总结了4种结构类型(木结构、砖木结构、砖混结构、底框结构)在抗震措施、建筑特点、建筑材料、分布情况等方面的信息,并结合实际震害资料分析其抗震薄弱环节,以期对四川东北区域村镇建筑的防震减灾工作提供理论支持。其中,老旧木结构和砖木结构几乎未设置抗震构造措施,抗震能力较差;早期砖混结构与底框结构均未按规范设置圈梁和构造柱,且悬挑和出屋面构件往往缺乏锚固措施,抗震性能薄弱。在遭遇当地基本设防烈度地震作用时,这些建筑极易受到破坏,抗震能力现状不容乐观。
四川东北区域包含南充、达州、巴中等市,被龙门山等多条断裂带包围。为进一步评估和掌握四川东北区域村镇建筑物抗震能力现状。本研究对位于四川省东北部区域的7市37个调查点的村镇建筑物进行了现场调查分析。结合调查资料、无人机航拍及单栋抽样详查等方法,本文分析了调查区域内乡镇与农村建筑的分布差异性,总结了4种结构类型(木结构、砖木结构、砖混结构、底框结构)在抗震措施、建筑特点、建筑材料、分布情况等方面的信息,并结合实际震害资料分析其抗震薄弱环节,以期对四川东北区域村镇建筑的防震减灾工作提供理论支持。其中,老旧木结构和砖木结构几乎未设置抗震构造措施,抗震能力较差;早期砖混结构与底框结构均未按规范设置圈梁和构造柱,且悬挑和出屋面构件往往缺乏锚固措施,抗震性能薄弱。在遭遇当地基本设防烈度地震作用时,这些建筑极易受到破坏,抗震能力现状不容乐观。
, 最新更新时间 , doi: 10.11899/zzfy20240269
摘要:
长周期地震动中显著的低频成分对复杂、大型柔性结构的动力响应有着不可忽视的影响。因此,合理地随机建模长周期地震动是进行大型柔性结构抗震分析与设计的关键。然而,现有的模型未能充分考虑长周期地震动的多维性,并且缺乏与规范一致的推荐参数值。为了应对这一挑战,本研究提出了一种方法,基于实测地震动数据,采用经验模态分解(EMD)技术,将长周期地震动分解为高频和低频成分,以便独立研究其频谱特性。这一方法为理解长周期地震动复杂的频谱特性奠定了基础。接着,本文初步识别并统计分析了高低频成分的演化功率谱密度(EPSD)函数参数,进一步揭示了长周期地震动的频谱特性及其变化规律。在此基础上,利用本征正交分解(POD)方法,分别模拟了不同方向的高频和低频成分样本,并重构了三维长周期地震动过程。数值算例与验证结果显示,所生成的代表性样本能够真实反映长周期、三维地震动的动力学特征,具有较高的工程准确性与实用性。本研究提出的长周期地震动随机模型不仅能够有效捕捉地震动的低频特征,初步探索了对长周期地震动工程特征随机建模,还为后续的精细化研究提供了监视的理论依据和技术支撑。
长周期地震动中显著的低频成分对复杂、大型柔性结构的动力响应有着不可忽视的影响。因此,合理地随机建模长周期地震动是进行大型柔性结构抗震分析与设计的关键。然而,现有的模型未能充分考虑长周期地震动的多维性,并且缺乏与规范一致的推荐参数值。为了应对这一挑战,本研究提出了一种方法,基于实测地震动数据,采用经验模态分解(EMD)技术,将长周期地震动分解为高频和低频成分,以便独立研究其频谱特性。这一方法为理解长周期地震动复杂的频谱特性奠定了基础。接着,本文初步识别并统计分析了高低频成分的演化功率谱密度(EPSD)函数参数,进一步揭示了长周期地震动的频谱特性及其变化规律。在此基础上,利用本征正交分解(POD)方法,分别模拟了不同方向的高频和低频成分样本,并重构了三维长周期地震动过程。数值算例与验证结果显示,所生成的代表性样本能够真实反映长周期、三维地震动的动力学特征,具有较高的工程准确性与实用性。本研究提出的长周期地震动随机模型不仅能够有效捕捉地震动的低频特征,初步探索了对长周期地震动工程特征随机建模,还为后续的精细化研究提供了监视的理论依据和技术支撑。
, 最新更新时间 , doi: 10.11899/zzfy20240250
摘要:
针对桥梁结构的安全运维,结构动力参数的识别是评估结构健康状况的关键步骤。然而,传统的结构动力参数识别技术依赖于昂贵且操作复杂的传感器设备和数据采集系统,且需要由专业团队和经验丰富的技术人员进行操作与分析,这些技术壁垒限制了桥梁结构健康监测与维护技术的普及。针对上述技术难题,本研究提出了一种基于智能手机的桥梁结构动力参数识别及不确定性评估方法,并在一座人行天桥上进行了应用验证试验和对比测试。结果证明,本研究提出的方法在识别精度和稳定性方面表现优异,为实际工程应用提供了坚实的理论支撑。
针对桥梁结构的安全运维,结构动力参数的识别是评估结构健康状况的关键步骤。然而,传统的结构动力参数识别技术依赖于昂贵且操作复杂的传感器设备和数据采集系统,且需要由专业团队和经验丰富的技术人员进行操作与分析,这些技术壁垒限制了桥梁结构健康监测与维护技术的普及。针对上述技术难题,本研究提出了一种基于智能手机的桥梁结构动力参数识别及不确定性评估方法,并在一座人行天桥上进行了应用验证试验和对比测试。结果证明,本研究提出的方法在识别精度和稳定性方面表现优异,为实际工程应用提供了坚实的理论支撑。
, 最新更新时间 , doi: 10.11899/zzfy20250016
摘要:
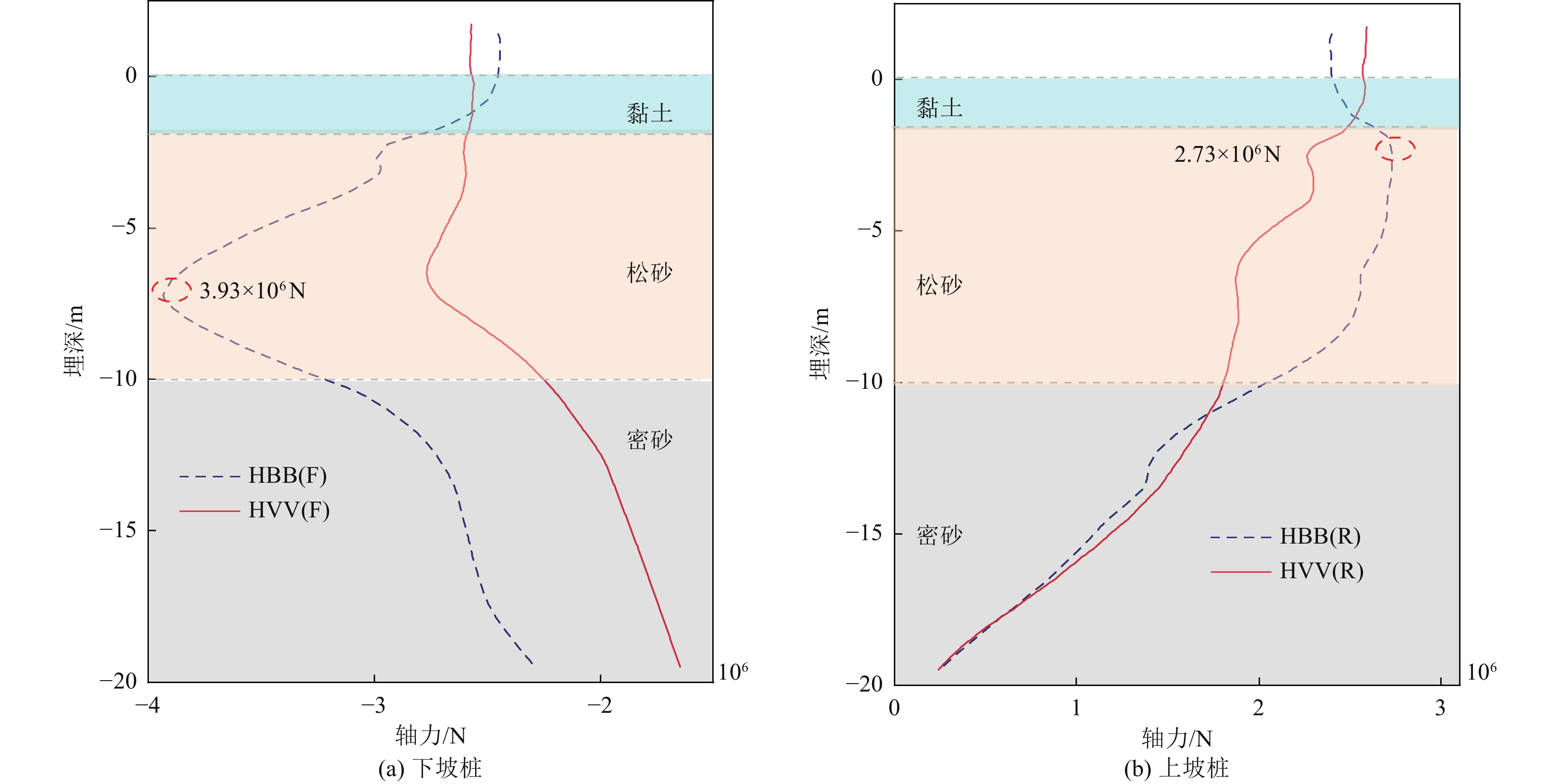
震害调查表明,地震中土体液化引发场地发生侧向扩展致使桩基损伤进而耦联上部结构倒塌的案例常有发生,在近滨海地区的地层中更为显著。此外,斜桩与直桩在地震期间表现出不同的震害特征。基于此,采用高效多尺度全耦合三维精细化数值模拟方法,开展了液化侧向扩展场地直斜群桩桥梁体系地震响应研究。采用变渗透系数模型考虑液化过程中渗透系数的变化,引入主-从薄层接触单元模拟桩-土接触面脱离与滑移。研究结果表明:强震激励下,土体液化后场地发生侧向扩展,上坡桩与下坡桩呈现相反的轴向响应。桩基与土体之间出现明显的脱离、滑移,传统的绑定接触不适用于侧向扩展场地。斜桩与直桩在近场表现出不同的变形模式,上部结构沿不同的方向发生弯曲变形。与直桩相比,斜桩表现出更显著的桩钉效应,能够更有效地抵抗场地侧向扩展,明显降低土体、桩基、上部结构水平位移与加速度响应,提高体系抗震性能。但在工程设计中,需要重点关注斜桩体系的竖向位移。
震害调查表明,地震中土体液化引发场地发生侧向扩展致使桩基损伤进而耦联上部结构倒塌的案例常有发生,在近滨海地区的地层中更为显著。此外,斜桩与直桩在地震期间表现出不同的震害特征。基于此,采用高效多尺度全耦合三维精细化数值模拟方法,开展了液化侧向扩展场地直斜群桩桥梁体系地震响应研究。采用变渗透系数模型考虑液化过程中渗透系数的变化,引入主-从薄层接触单元模拟桩-土接触面脱离与滑移。研究结果表明:强震激励下,土体液化后场地发生侧向扩展,上坡桩与下坡桩呈现相反的轴向响应。桩基与土体之间出现明显的脱离、滑移,传统的绑定接触不适用于侧向扩展场地。斜桩与直桩在近场表现出不同的变形模式,上部结构沿不同的方向发生弯曲变形。与直桩相比,斜桩表现出更显著的桩钉效应,能够更有效地抵抗场地侧向扩展,明显降低土体、桩基、上部结构水平位移与加速度响应,提高体系抗震性能。但在工程设计中,需要重点关注斜桩体系的竖向位移。
, 最新更新时间 , doi: 10.11899/zzfy20240262
摘要:
据西藏地震台网测定,2024年10月17日00时至2024年12月9日10时,西藏墨竹工卡记录共发生18次3.0级及以上地震,受此震群影响,震区内两种主要结构房屋出现不同程度破坏。通过实地调查,对受灾地区内石木结构和框架结构房屋的震害特征进行了总结和分析,发现造成石木结构房屋受损严重的主要原因是房屋自身的设计不利于抗震、施工质量差、建造年代久远、短时间内地震频发以及场地效应加重震害等,而框架结构受损的主要原因是施工质量不达标、地震力的持续作用和场地效应。本文对两种结构的震害现象及原因进行了详细描述,并提出针对性的后续建议。通过本次地震实地调查可知,尽管震级不大,但连续多次的地震作用仍然会对建筑物造成一定震害,应加强本地现有传统民居的抗震性能,避免出现小震大灾的现象,同时公共建筑应加装减隔震设备。
据西藏地震台网测定,2024年10月17日00时至2024年12月9日10时,西藏墨竹工卡记录共发生18次3.0级及以上地震,受此震群影响,震区内两种主要结构房屋出现不同程度破坏。通过实地调查,对受灾地区内石木结构和框架结构房屋的震害特征进行了总结和分析,发现造成石木结构房屋受损严重的主要原因是房屋自身的设计不利于抗震、施工质量差、建造年代久远、短时间内地震频发以及场地效应加重震害等,而框架结构受损的主要原因是施工质量不达标、地震力的持续作用和场地效应。本文对两种结构的震害现象及原因进行了详细描述,并提出针对性的后续建议。通过本次地震实地调查可知,尽管震级不大,但连续多次的地震作用仍然会对建筑物造成一定震害,应加强本地现有传统民居的抗震性能,避免出现小震大灾的现象,同时公共建筑应加装减隔震设备。
, 最新更新时间 , doi: 10.11899/zzfy20250017
摘要:
河北省砖混民居房屋存量大且分布范围广,准确掌握其结构特点及抗震能力,对地震灾害评估及应急救援具有重要意义。本文基于对河北省内十个区县2 201栋砖混民居房屋的实地调查数据,总结了河北省砖混民居房屋建造与结构特征,并给出了其抗震能力指数在不同抗震设防烈度下的分布及成因。选取建造年代、横墙间距、房屋宽度、总层数、砂浆种类、有无圈梁、抗震设防烈度和墙体局部尺寸等8个特征值作为输入量。分别采用SVM(Support Vector Machine)、随机森林和XGBoost(eXtreme Gradient Boosting)3种机器学习方法对单体砖混民居房屋抗震能力指数进行预测,并对其预测结果进行分析评价。结果表明,经过超参数优化的随机森林模型预测效果最佳,其决定系数R2达到0.95。同时,通过SHAP分析对8个特征值的重要性进行排序,结果显示抗震设防烈度、砂浆种类和房屋宽度对模型的预测精度影响较高。该模型可实现对单体砖混民居房屋抗震能力的快速评估,研究成果可为河北省民居房屋的地震灾害预评估提供有价值的参考。
河北省砖混民居房屋存量大且分布范围广,准确掌握其结构特点及抗震能力,对地震灾害评估及应急救援具有重要意义。本文基于对河北省内十个区县2 201栋砖混民居房屋的实地调查数据,总结了河北省砖混民居房屋建造与结构特征,并给出了其抗震能力指数在不同抗震设防烈度下的分布及成因。选取建造年代、横墙间距、房屋宽度、总层数、砂浆种类、有无圈梁、抗震设防烈度和墙体局部尺寸等8个特征值作为输入量。分别采用SVM(Support Vector Machine)、随机森林和XGBoost(eXtreme Gradient Boosting)3种机器学习方法对单体砖混民居房屋抗震能力指数进行预测,并对其预测结果进行分析评价。结果表明,经过超参数优化的随机森林模型预测效果最佳,其决定系数R2达到0.95。同时,通过SHAP分析对8个特征值的重要性进行排序,结果显示抗震设防烈度、砂浆种类和房屋宽度对模型的预测精度影响较高。该模型可实现对单体砖混民居房屋抗震能力的快速评估,研究成果可为河北省民居房屋的地震灾害预评估提供有价值的参考。
, 最新更新时间 , doi: 10.11899/zzfy20240511
摘要:
为研究考虑轨道约束效应对高速铁路连续刚构桥的地震反应及损伤状态的影响,本文以一座跨径为256(48+2×80+48)m的连续刚构桥为对象进行研究。通过模拟连续刚构桥的施工过程获得成桥时的真实内力状态,然后基于等效荷载法得到内力等效荷载,并将其施加于OpenSees动力分析模型中,使其处于等效内力状态。输入三维近断层脉冲型地震动进行非线性时程分析。本文首先分析了是否考虑无砟轨道约束对高墩连续刚构桥主梁和桥墩的地震响应,其次分别以曲率延性系数和支座位移作为桥墩和支座的损伤评价指标,对是否考虑轨道约束的连续刚构桥进行损伤分析。结果表明:无砟轨道为连续刚构桥提供了很大的纵向约束,会明显降低主梁各部位(梁端和跨中)沿纵桥向的位移响应,在梁端处最大可降低约1.3倍,在跨中处最大降低约1.25倍;同时沿横桥向轨道约束会降低梁端地震响应,在横桥向可降低55.3%~66.3%,在竖向可降低0.7%~4.2%,但是轨道约束会放大跨中地震峰值位移(1.04倍~1.5倍)。此外,轨道约束在一定程度上也会降低桥墩和桥台处支座的损伤。
为研究考虑轨道约束效应对高速铁路连续刚构桥的地震反应及损伤状态的影响,本文以一座跨径为256(48+2×80+48)m的连续刚构桥为对象进行研究。通过模拟连续刚构桥的施工过程获得成桥时的真实内力状态,然后基于等效荷载法得到内力等效荷载,并将其施加于OpenSees动力分析模型中,使其处于等效内力状态。输入三维近断层脉冲型地震动进行非线性时程分析。本文首先分析了是否考虑无砟轨道约束对高墩连续刚构桥主梁和桥墩的地震响应,其次分别以曲率延性系数和支座位移作为桥墩和支座的损伤评价指标,对是否考虑轨道约束的连续刚构桥进行损伤分析。结果表明:无砟轨道为连续刚构桥提供了很大的纵向约束,会明显降低主梁各部位(梁端和跨中)沿纵桥向的位移响应,在梁端处最大可降低约1.3倍,在跨中处最大降低约1.25倍;同时沿横桥向轨道约束会降低梁端地震响应,在横桥向可降低55.3%~66.3%,在竖向可降低0.7%~4.2%,但是轨道约束会放大跨中地震峰值位移(1.04倍~1.5倍)。此外,轨道约束在一定程度上也会降低桥墩和桥台处支座的损伤。
, 最新更新时间 , doi: 10.11899/zzfy20240264
摘要:
岷漳地震强地震动加速度峰值较小,然而震害却相对严重,局部黄土场地震害及地震动放大效应显著。基于岷漳地震强地震动记录,开展幅值、频谱和持时三要素特征分析,探讨震中距、场地类别、土层条件等对地震动特征参数的影响规律,从地震动特征角度分析此次地震震害相对较重的原因及对震害的潜在影响。结果表明:(1)Ⅲ类场地与Ⅰ类场地相比,峰值加速度放大2.1~4.6倍,持时延长10~43 s,反应谱在周期0.18~0.86 s时,谱值较大;(2)黄土场地与非黄土场地相比,峰值加速度及峰值速度分别放大1.5~3.7倍和1.55~1.8倍,持时延长8~35 s,反应谱在周期大于0.32 s时,谱值明显较大,存在显著的黄土场地地震动放大效应;(3)设计地震分组为第二组的Ⅱ类黄土场地,加速度反应谱的平均曲线、拟合曲线在周期0.8~3.0 s时与规范设计谱的谱值差大于20%。
岷漳地震强地震动加速度峰值较小,然而震害却相对严重,局部黄土场地震害及地震动放大效应显著。基于岷漳地震强地震动记录,开展幅值、频谱和持时三要素特征分析,探讨震中距、场地类别、土层条件等对地震动特征参数的影响规律,从地震动特征角度分析此次地震震害相对较重的原因及对震害的潜在影响。结果表明:(1)Ⅲ类场地与Ⅰ类场地相比,峰值加速度放大2.1~4.6倍,持时延长10~43 s,反应谱在周期0.18~0.86 s时,谱值较大;(2)黄土场地与非黄土场地相比,峰值加速度及峰值速度分别放大1.5~3.7倍和1.55~1.8倍,持时延长8~35 s,反应谱在周期大于0.32 s时,谱值明显较大,存在显著的黄土场地地震动放大效应;(3)设计地震分组为第二组的Ⅱ类黄土场地,加速度反应谱的平均曲线、拟合曲线在周期0.8~3.0 s时与规范设计谱的谱值差大于20%。
, 最新更新时间 , doi: 10.11899/zzfy20240251
摘要:
本研究利用机载LiDAR技术详细解析了紫荆关断裂双塘涧-老峪沟段的平面几何特征。通过高分辨率地形数据揭示了断裂的地表迹线和平面展布特征,分析了紫荆关断裂与南口山前断裂的几何连接关系。研究显示,紫荆关断裂沿线主要发育山地、河谷及洪积扇地貌,其中山区表现为断层崖和断层三角面;河谷内普遍发育T0、T1阶地,而T2阶地较少。断裂双塘涧-老峪沟段由多条分支断裂组成,形成右阶斜列形式,这些分支断裂具有明显的线性特征,主要沿山间谷地分布。马套村以南的两条断裂交汇部位解译数据显示,紫荆关断裂与南口山前断裂在地表的连接特征呈现复杂性与不连续性,紫荆关断裂表现为较弱的活动性,主要以正断层为主,而南口山前断裂为晚更新世活动断裂,具有显著的倾滑特征。两者的活动性及几何形态差异可能受构造应力场的影响,导致局部断裂重叠、错动以及相对位移,从而形成不完全连接的现象。这些发现为理解华北地区拉张构造背景下的动力学特征与运动学机制提供了新的视角,并对该地区的地震风险评估及地质研究具有重要意义。
本研究利用机载LiDAR技术详细解析了紫荆关断裂双塘涧-老峪沟段的平面几何特征。通过高分辨率地形数据揭示了断裂的地表迹线和平面展布特征,分析了紫荆关断裂与南口山前断裂的几何连接关系。研究显示,紫荆关断裂沿线主要发育山地、河谷及洪积扇地貌,其中山区表现为断层崖和断层三角面;河谷内普遍发育T0、T1阶地,而T2阶地较少。断裂双塘涧-老峪沟段由多条分支断裂组成,形成右阶斜列形式,这些分支断裂具有明显的线性特征,主要沿山间谷地分布。马套村以南的两条断裂交汇部位解译数据显示,紫荆关断裂与南口山前断裂在地表的连接特征呈现复杂性与不连续性,紫荆关断裂表现为较弱的活动性,主要以正断层为主,而南口山前断裂为晚更新世活动断裂,具有显著的倾滑特征。两者的活动性及几何形态差异可能受构造应力场的影响,导致局部断裂重叠、错动以及相对位移,从而形成不完全连接的现象。这些发现为理解华北地区拉张构造背景下的动力学特征与运动学机制提供了新的视角,并对该地区的地震风险评估及地质研究具有重要意义。
, 最新更新时间 , doi: 10.11899/zzfy20240266
摘要:
排架墩在中小跨径公路桥梁和城市高架桥中应用广泛,历次破坏性地震中也暴露出了其显著的震害问题。为了提升排架墩桥梁的整体抗震能力,本研究采用防屈曲支撑(Buckling-Restrained Braces, BRB)作为保险丝构件,以实现对排架墩的地震损伤控制。选取一座典型的五跨连续梁桥作为研究对象,对4组不同排架墩进行基于位移的抗震性能提升设计,并使用OpenSees软件建立全桥动力分析模型。选取特定地震动记录,以桥墩位移延性系数和支座剪应变为损伤指标,通过云图法对安装BRB前后桥梁进行概率地震需求分析,对比其概率地震需求模型、易损性曲线和危险性曲线,重点研究关键承重构件的易损性曲面随初始刚度比和屈服位移比的变化情况。结果表明,安装BRB后,各个桥墩的损伤得到了明显控制,且初始刚度比和屈服位移比对损伤控制起到了关键作用。同时,安装BRB对各个支座的损伤也产生了一定影响,在轻微损伤状态下,其影响不大,但在完全破坏状态下则存在明显差异。在相同损伤状态下,桥墩的地震损伤超越概率随初始刚度比的增加而减少,且随屈服位移比的增加而下降,并逐渐趋于稳定。
排架墩在中小跨径公路桥梁和城市高架桥中应用广泛,历次破坏性地震中也暴露出了其显著的震害问题。为了提升排架墩桥梁的整体抗震能力,本研究采用防屈曲支撑(Buckling-Restrained Braces, BRB)作为保险丝构件,以实现对排架墩的地震损伤控制。选取一座典型的五跨连续梁桥作为研究对象,对4组不同排架墩进行基于位移的抗震性能提升设计,并使用OpenSees软件建立全桥动力分析模型。选取特定地震动记录,以桥墩位移延性系数和支座剪应变为损伤指标,通过云图法对安装BRB前后桥梁进行概率地震需求分析,对比其概率地震需求模型、易损性曲线和危险性曲线,重点研究关键承重构件的易损性曲面随初始刚度比和屈服位移比的变化情况。结果表明,安装BRB后,各个桥墩的损伤得到了明显控制,且初始刚度比和屈服位移比对损伤控制起到了关键作用。同时,安装BRB对各个支座的损伤也产生了一定影响,在轻微损伤状态下,其影响不大,但在完全破坏状态下则存在明显差异。在相同损伤状态下,桥墩的地震损伤超越概率随初始刚度比的增加而减少,且随屈服位移比的增加而下降,并逐渐趋于稳定。
, 最新更新时间 , doi: 10.11899/zzfy20240267
摘要:
巴楚地震液化砂土标贯击数与锥尖阻力指标普遍偏大,却仍然发生广泛液化,原因至今没有查明。选取唐山地震和巴楚地震典型液化砂土,进行室内土工试验,对比两种砂土物性指标差异,并分别按相对密度30%、50%、70%、80%制样进行共振柱试验,试验发现:(1)相同相对密度下,唐山砂土干密度大于巴楚砂土,孔隙比小于巴楚砂土,试样中固体颗粒更多,孔隙更少。因此,唐山砂土的动剪切模量和阻尼比都高于巴楚砂土。然而,共振柱激振作用会导致土样内部结构发生变化,由于巴楚砂土颗粒更加均匀且颗粒比重更大,其动力稳定性高于唐山砂土。(2)随着固结应力的增大,唐山砂土动剪切模量比与动剪应变关系包络线范围逐渐收窄,符合一般规律。巴楚砂土在300 kPa的固结应力下,包络线范围反而变得更宽,体现了巴楚砂土明显的剪胀效应。(3)在同样的固结应力下,常规相对密度范围内,巴楚砂土剪切波速小于唐山砂土。然而,随剪应变增大,巴楚砂土动力稳定性更强。这表明仅用剪切波速判别土体液化存在问题,因为剪切波速代表土体小应变时的状态,而液化则是土体在大应变时的状态。从这个角度来说,标准贯入试验和静力触探试验中土体都处于大应变状态,与液化状态更相似,可以建立更好的相关关系。
巴楚地震液化砂土标贯击数与锥尖阻力指标普遍偏大,却仍然发生广泛液化,原因至今没有查明。选取唐山地震和巴楚地震典型液化砂土,进行室内土工试验,对比两种砂土物性指标差异,并分别按相对密度30%、50%、70%、80%制样进行共振柱试验,试验发现:(1)相同相对密度下,唐山砂土干密度大于巴楚砂土,孔隙比小于巴楚砂土,试样中固体颗粒更多,孔隙更少。因此,唐山砂土的动剪切模量和阻尼比都高于巴楚砂土。然而,共振柱激振作用会导致土样内部结构发生变化,由于巴楚砂土颗粒更加均匀且颗粒比重更大,其动力稳定性高于唐山砂土。(2)随着固结应力的增大,唐山砂土动剪切模量比与动剪应变关系包络线范围逐渐收窄,符合一般规律。巴楚砂土在300 kPa的固结应力下,包络线范围反而变得更宽,体现了巴楚砂土明显的剪胀效应。(3)在同样的固结应力下,常规相对密度范围内,巴楚砂土剪切波速小于唐山砂土。然而,随剪应变增大,巴楚砂土动力稳定性更强。这表明仅用剪切波速判别土体液化存在问题,因为剪切波速代表土体小应变时的状态,而液化则是土体在大应变时的状态。从这个角度来说,标准贯入试验和静力触探试验中土体都处于大应变状态,与液化状态更相似,可以建立更好的相关关系。
, 最新更新时间 , doi: 10.11899/zzfy20240265
摘要:
2023年9月9日在摩洛哥高阿特拉斯山脉发生MW 6.8地震,造成约3000 人死亡,5000 多人受伤。该区域处于阿尔卑斯-喜马拉雅地震带,是一个地壳变形活跃的区域,长期受到板块碰撞和断层活动的影响。为了研究此次地震的同震变形特征与机制,本文基于InSAR技术处理升降轨SAR资料,并开展了模型反演研究。InSAR同震形变场结果显示,此次地震以垂向变形为主,是一次典型的逆冲型地震,视线向地表最大相对位移约为15~20 cm;同震位错反演结果显示,断层滑动主要集中在15~35 km深度范围,最大滑动量为1.13 m,且集中在约23 km深度处。累积地震矩为2.2×1019 N·m,矩震级为6.8级。本文研究揭示了此次地震同震变形与断层滑动分布,丰富了缓慢变形山区的强震震例,为地震破坏正演模型提供了基础,并为研究巨大灾害损失成因提供了支持。
2023年9月9日在摩洛哥高阿特拉斯山脉发生MW 6.8地震,造成约
, 最新更新时间 , doi: 10.11899/zzfy20240252
摘要:
为了探究碎石粒径变化和大碎石含量对土石混合体抗剪强度参数内摩擦角的影响特征,本文采用离散元PFC 3D,并基于西南某泥石流堆积体级配特征,对其粒径大小从10~60 mm和大粒径碎石含量从10%~90%等试样构建岩土体柔性三轴数值模型共计44个,开展数值试验分析。模拟结果表明:对比相同粒径的均匀圆形颗粒模型与不规则碎石模型,其内摩擦角随着粒径的增大呈现出增大趋势,且后者内摩擦角大于前者,最大内摩擦角分别达到39.05°和43.27°;当碎石粒径<30 mm时内摩擦角的增幅不明显;相同粒径条件下,碎石模型的内摩擦角大于均匀圆形颗粒模型,揭示了内摩擦角会受到碎石颗粒形状的影响;大碎石含量对岩土体内摩擦角起着一定的控制作用,对比混合粒径碎石模型和土石混合模型,其内摩擦角随大碎石含量的增大而增大,前者内摩擦角的增幅小于后者,当大碎石含量>50%时内摩擦角的增幅较为明显,两者内摩擦角的增幅分别为8.34°和14.08°;当粒径分布特征指标中的限制粒径d60在10~30 mm,其内摩擦角随d60的增大而增大,当d60>30 mm后,其内摩擦角随d60的增大而减小。
为了探究碎石粒径变化和大碎石含量对土石混合体抗剪强度参数内摩擦角的影响特征,本文采用离散元PFC 3D,并基于西南某泥石流堆积体级配特征,对其粒径大小从10~60 mm和大粒径碎石含量从10%~90%等试样构建岩土体柔性三轴数值模型共计44个,开展数值试验分析。模拟结果表明:对比相同粒径的均匀圆形颗粒模型与不规则碎石模型,其内摩擦角随着粒径的增大呈现出增大趋势,且后者内摩擦角大于前者,最大内摩擦角分别达到39.05°和43.27°;当碎石粒径<30 mm时内摩擦角的增幅不明显;相同粒径条件下,碎石模型的内摩擦角大于均匀圆形颗粒模型,揭示了内摩擦角会受到碎石颗粒形状的影响;大碎石含量对岩土体内摩擦角起着一定的控制作用,对比混合粒径碎石模型和土石混合模型,其内摩擦角随大碎石含量的增大而增大,前者内摩擦角的增幅小于后者,当大碎石含量>50%时内摩擦角的增幅较为明显,两者内摩擦角的增幅分别为8.34°和14.08°;当粒径分布特征指标中的限制粒径d60在10~30 mm,其内摩擦角随d60的增大而增大,当d60>30 mm后,其内摩擦角随d60的增大而减小。
Email alert
RSS
摘要
HTML全文
PDF 15170KB